• Предмет: Физика
  • Автор: maksgopka895
  • Вопрос задан 3 года назад

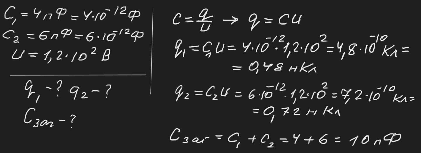
Два конденсатори з' єднанні паралельно C1= 4 пФ ,С2 = 6 пФ ,напруга U=120B Визначити заряди на конденсаторах q1,q2, загальну ємність С?

Ответы

Ответ дал: zybkov1950
0

Відповідь: Див. додаток

Пояснення:

Приложения:
Вас заинтересует