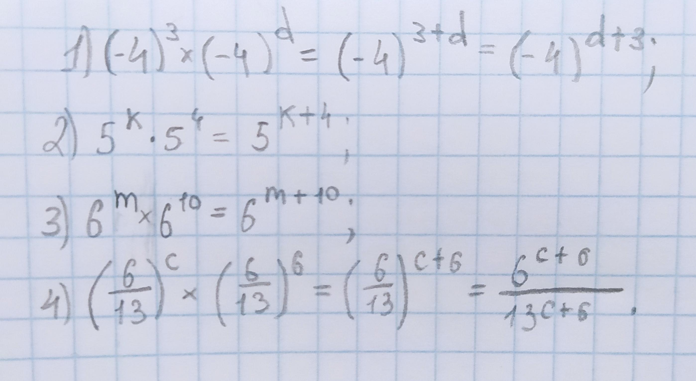
Упростите выражения (2.7-2.8): 2) 6m. 610; 2.7. 1) 5. 54; 4) (-4)³ · (-4)ª; 5) B 6 13 6 13 6 ; 3) 1,77 1,7°; С 6) (-5,2)(-5,2).
Приложения:

GripEvv:
Не совсем понятно что написано
Ответы
Ответ дал:
7
Ответ:
Объяснение: Использование свойства степени.
Приложения:

Вас заинтересует
2 года назад
2 года назад
2 года назад
7 лет назад
9 лет назад