• Предмет: Геометрия
  • Автор: guviler908754
  • Вопрос задан 3 года назад

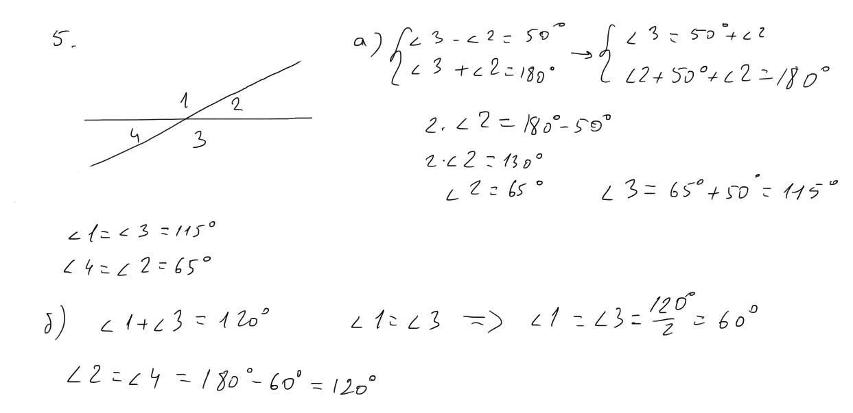
Нужно сделать только 5 задание а,б 35балов

Приложения:

Warlock1: и что это за углы? наверное какая-то картинка должна быть или дополнительные пояснения?
guviler908754: При пересечений двух прямых
guviler908754: 1,2,3,4 а в
guviler908754: Нужно найти углы
guviler908754: Этих пересечений

Ответы

Ответ дал: Warlock1
0

Ответ:

Объяснение:

Если я всё правильно понял, то так.

Углы 1 и 3, 2 и 4 - попарно вертикальные, углы 3 и 2 - смежные.

Приложения:
Вас заинтересует