• Предмет: Алгебра
  • Автор: sssssssiii
  • Вопрос задан 3 года назад

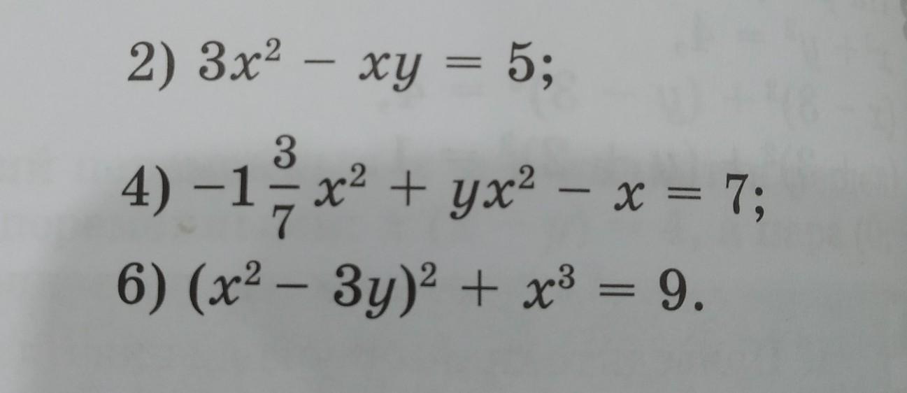
найдите степень уравнения очень нужно !!!!!!​

Приложения:

Ответы

Ответ дал: dobra888
1

Відповідь:

Пояснення:

 Степінь  рівняння  в прикладі  2 )  -  2 - ий ;

 степінь  рівняння  в прикладі  4 )  -  3 - ий ;

 степінь  рівняння  в прикладі  6 )  -  4 - ий .

Вас заинтересует