• Предмет: Алгебра
  • Автор: recurian278
  • Вопрос задан 3 года назад

формула n в алгебре,как найти n????​

Приложения:

Ответы

Ответ дал: manyny06
1

Ответ:

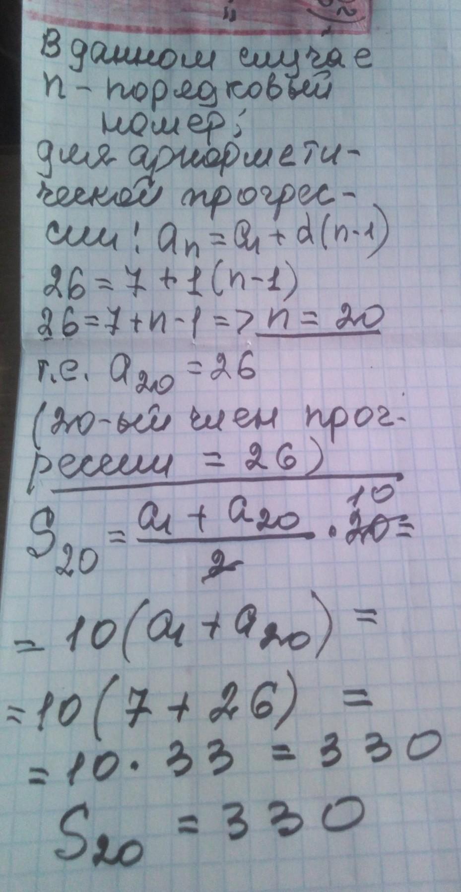
решение смотри на фотографии

Приложения:

recurian278: фото не открывается ответа
Вас заинтересует