• Предмет: Алгебра
  • Автор: vasiagubug
  • Вопрос задан 3 года назад

Помогите пожалуйста.

Приложения:

Ответы

Ответ дал: TanomiU
1

Ответ:

Объяснение:

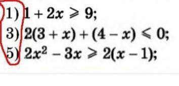
1) 1 + 2x ≥ 9

2x ≥ 9 -1  →  2x ≥ 8

x ≥ 8/2  →   x ≥ 4

3) 2(3 +x) + (4 - x) ≤ 0

6 +2x +4 -x ≤ 0 →   x + 10 ≤ 0 →  x ≤ - 10

5) 2x² - 3x ≥ 2(x - 1)

2x² - 3x -2x + 2 ≥ 0  → 2x² -5x  +2 ≥ 0

2x² - 4x - x + 2 ≥ 0

2x(x - 2) - (x - 2) ≥ 0

(2x - 1)(x - 2) ≥ 0

1) {2x - 1 ≥ 0   →  { 2x ≥ 1   →  {x ≥ 1/2

   {x - 2 ≥ 0     →   {x ≥ 2     →   {x ≥2

2) {2x - 1 ≤ 0  → {x ≤ 1/2   → {x ≤ 0,5

   {x - 2  ≤ 0   → { x ≤ 2    →   {x ≤ 2
Ответ: x ∈ [ 0,5; 2]

Вас заинтересует