• Предмет: Математика
  • Автор: Hlopyatimmi
  • Вопрос задан 3 года назад

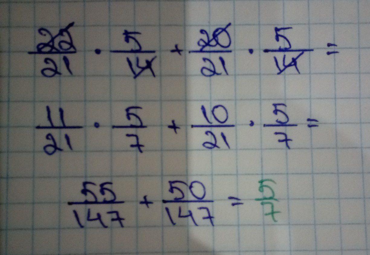
22/21х5/14+20/21х5/14 помогите пожалуйста


tina7599: 5/14 вынести
5/14 *(22/21+20/21) 42/21=2
5/14* 2=10/14 сокращаем и получается 5/7

Ответы

Ответ дал: zhienalisultan10
1

Ответ:

саламалейкум казак ели

Ответ дал: WhiteAngel2007
0

Ответ:

подробное объяснение и решение на фото

Приложения:
Вас заинтересует