• Предмет: Алгебра
  • Автор: настюханаська
  • Вопрос задан 10 лет назад

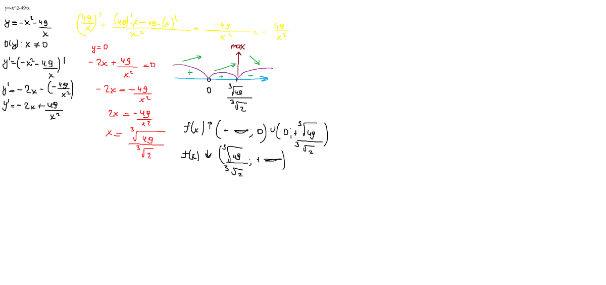
найдите точку максимума функции у=-х^2-49/x

Ответы

Ответ дал: nonikya
0
решение во вложении.
Приложения:
Вас заинтересует