• Предмет: Химия
  • Автор: strunivalentina
  • Вопрос задан 3 года назад

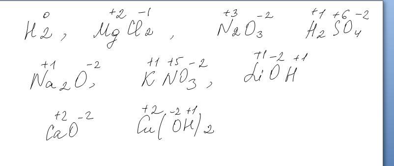
Визначити ступені окиснення всіх елементів, що входять до складу таких сполук: H2; MgCl2; N2O3; H2SO4; Na2O; KNO3; LiOH; CaO; Cu(OH)2.

Ответы

Ответ дал: pinkfrogandkitten
1

Відповідь:

Відповідь у прикріпленому файлі

Пояснення:

Приложения:
Вас заинтересует