• Предмет: Алгебра
  • Автор: eshyyrel
  • Вопрос задан 3 года назад

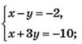
Графічний метод, алгебра.

Приложения:

Ответы

Ответ дал: yevheniiavz
1

дивіться фото...................................

Приложения:

eshyyrel: спасибі
yevheniiavz: оновіть сторінку, виправив помилку
eshyyrel: де саме>
yevheniiavz: в "Відповідь" і на графіку координати точок
prin4ik: а можна зв'язатися з адміністратором якимось? (в мене не змінюється статус на "отичник")
prin4ik: вибічте, я помилився
prin4ik: вибачте*
prin4ik: допоможіть будь ласка
Вас заинтересует