• Предмет: Алгебра
  • Автор: VaytV
  • Вопрос задан 3 года назад

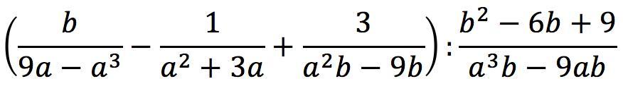
Спростити вираз і знайти його значення, якщо a = 2, b = 5:

Приложения:

Ответы

Ответ дал: hhh213629
0

Відповідь:

- 7/2 минус к дроби не к 7


yaninaoptima07: Можно полный ответ расписанный ?
Вас заинтересует