• Предмет: Алгебра
  • Автор: cezarivnasvitlana
  • Вопрос задан 3 года назад

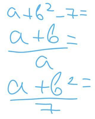
Самостійна робота Які з раціональних 1) A +b²-7; 2)цілі: дробові:​

Приложения:

Ответы

Ответ дал: antonkozachenko212
0

Відповідь:

Пояснення:

Перше дробове, друге ціле


cezarivnasvitlana: а трете?
cezarivnasvitlana: можно розв'язання дуже треба будь ласка
antonkozachenko212: а, я на перше не звернув уваги. У цьому випадку відповів до другого та третього, а це квадратне рівняння
Вас заинтересует