Ответы
Ответ дал:
0
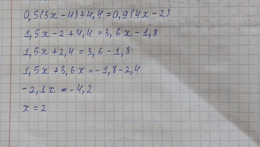
решение смотри на фото.
Приложения:

Ответ дал:
0
Ответ:
х=2
Объяснение:
рассказываем скобки
1,5х-2+4,4=3,6х-1,8
вычислим сумму
1,5х+2,4=3,6х-1,8
переносим неизвестную в левую часть и меняем знак
1,5х+2,4-3,6х=-1,8
переносим постоянную в праву часть и меняем знак
1,5х-3,6х=-1,8-2,4
привести подобные члены
-2,1х=-1,8-2,4
вычисляем разность
-2,1х=-4,2
делим -4,2 и -2,1
х=2
Вас заинтересует
2 года назад
2 года назад
2 года назад
7 лет назад
9 лет назад