СРОЧНО! ДАЮ 50 БАЛЛОВ
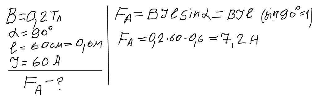
однорідному магнітному полі з
індукцією 0,2 Тл перпендикулярно лініям
індукції знаходиться провідник довжиною
60 см, по якому тече струм силою 60 А.
Визначте силу, що діє на провідник.
Розв'язання задачі прислати вчителю
Ответы
Ответ дал:
3
Відповідь: 7,2 Н
Пояснення:
Приложения:
Вас заинтересует
2 года назад
2 года назад
2 года назад
2 года назад
8 лет назад
8 лет назад
9 лет назад