• Предмет: Алгебра
  • Автор: mary1234510d
  • Вопрос задан 3 года назад

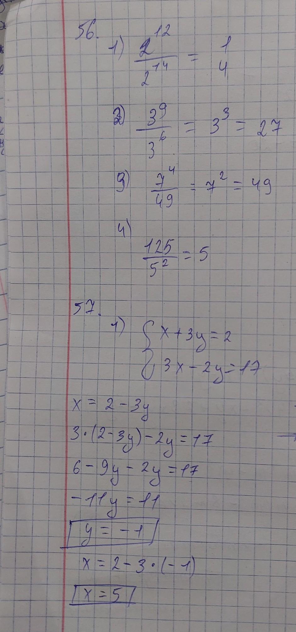
Решите срочно умоляю!!!! Только правильно за ранее большое спасибо

Приложения:

Аноним: можеш сказати клас та автор підручника

Ответы

Ответ дал: tursynhannuraj
0

Объяснение:

азсдлвлыдпдпзыжвсдадвщдйдала

Приложения:
Вас заинтересует