• Предмет: Алгебра
  • Автор: happy028
  • Вопрос задан 3 года назад

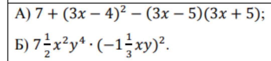
решите пожалуйста 2 пример

Приложения:

Ответы

Ответ дал: Krut012
1

Ответ: 40*5/6х^4*у^6

Объяснение:

воо как то так, так то легко, просто раскрыть и

Приложения:

happy028: большое спасибо!!!
Вас заинтересует