• Предмет: Алгебра
  • Автор: marsik2332
  • Вопрос задан 3 года назад

помогите решить пж
❗️ДЕТАЛЬНО И ПОШАГОВО❗️

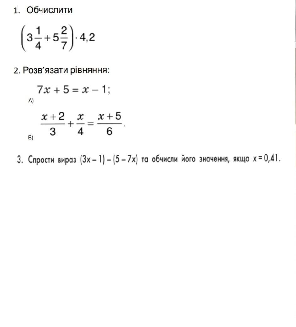
Приложения:

Ответы

Ответ дал: dararizkova
0

Ответ:

717

___

20

Объяснение:

сначала, сложить целые и дробные части смешанных дробей отдельно.

переобразуй десятичную дробь в обыкновенную.

получается ((3+5)+(1/4+2/7))× 21/5

слаживаем первые скобки: 3+5=8) далее 2: 1/4+2/7=15/28.

добавляем 8 к 15/28= 8 целых 15/28.

после этого слаживается такой пример: 8 целых 15/28 × 21/5.

с 8 целых 15/28 делаем обычный дроб: 239/28. далее сокрощяем на 7 числа 28 и 21, это получается так: 239/4 × 3/5.

последний шах умножаем.

получается 717/20

(если не понятно могу скинуть на листочке как правильно записать.)

Вас заинтересует