• Предмет: Алгебра
  • Автор: top378195
  • Вопрос задан 3 года назад

Срочно пж очень сложно.университет
Правильно даю100 баллов

Приложения:

Ответы

Ответ дал: MrRuke12
1

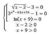
Решение в закрепленной картинке

Приложения:
Вас заинтересует