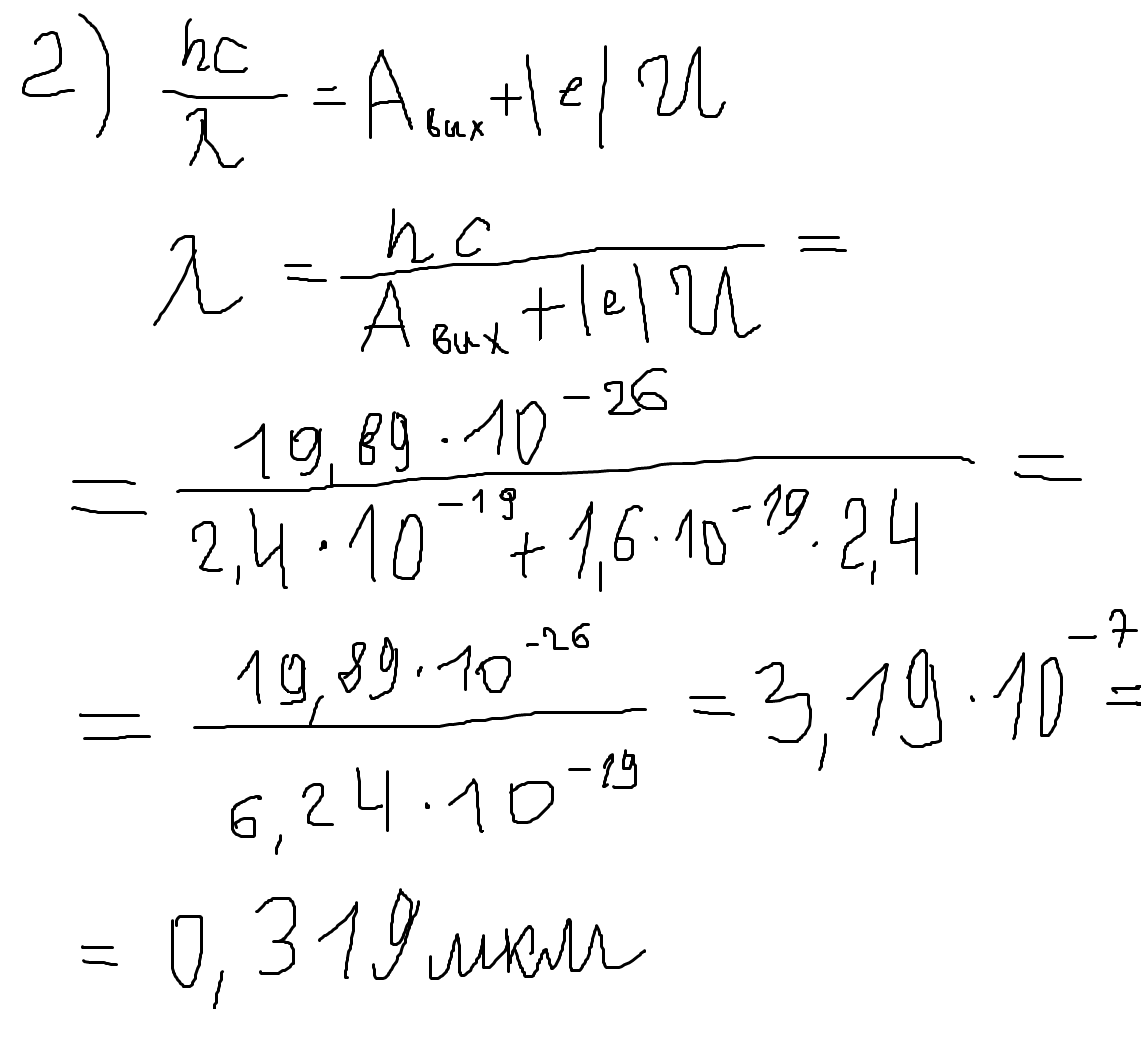
№1)Каково задерживающее напряжение для электронов, вырванных ультрафиолетовым излучением с длиной волны 0,1 мкм из вольфрамовой пластины?
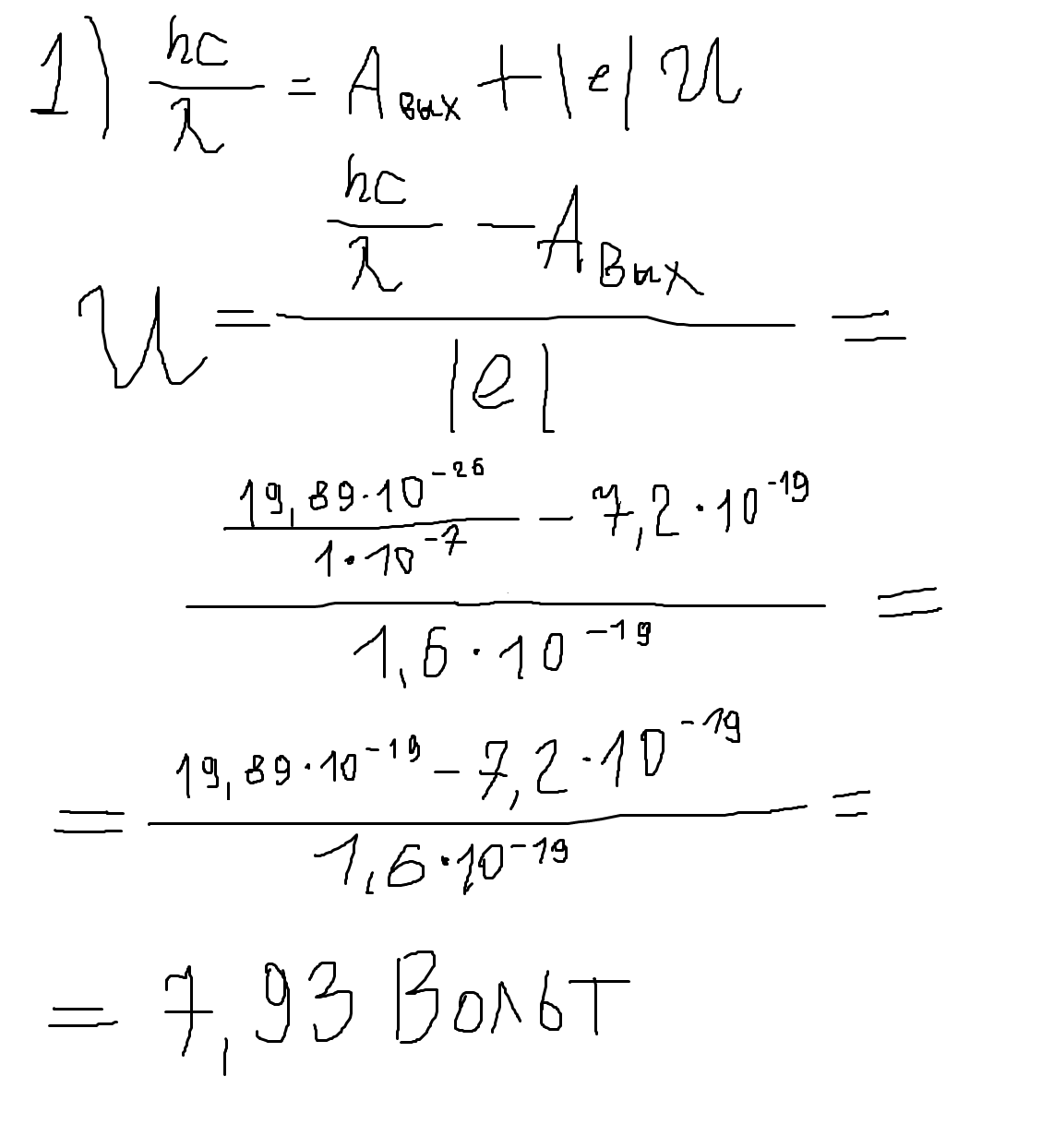
№2)Измеренное при фотоэффекте значение задерживающего напряжения равно 2,4 В. Найдите длину волны падающего на поверхность излучения, если работа выхода электронов из металла 2,4 * 10 в -19 степени Дж?
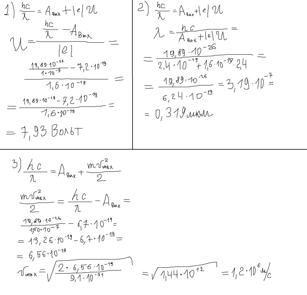
№3)Какова максимальная скорость фотоэлектронов, вылетающих при действии на поверхность цинка ультрафиолетового излучения с длинной волны 150 нм?
Ответы
Ответ дал:
0
основная формула Энштейна для всех задач во вложении)))и решение всех задач на рисунках))
Приложения:





Вас заинтересует
2 года назад
8 лет назад
8 лет назад
10 лет назад
10 лет назад
10 лет назад