• Предмет: Математика
  • Автор: mama8466
  • Вопрос задан 3 года назад

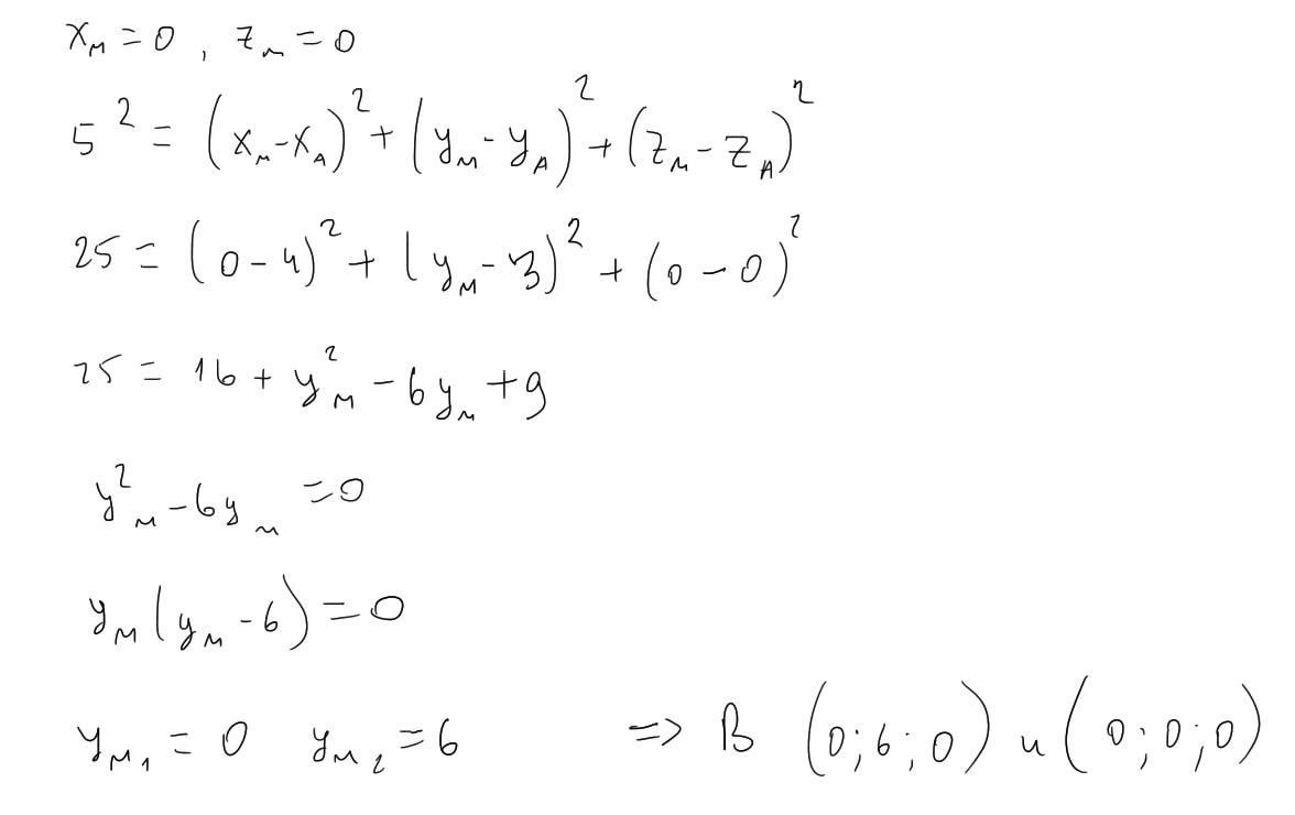
На осі ординат знайдіть точку М, відстань від якої до точки А(4; 3; 0) дорівнює 5.

A) (0: 0: 0);
Б) (0; -6: 0):
В) (0: 6: 0) та (0; 0; 0);
Г) (6; 0; 0); Д) інша відповідь.

Ответы

Ответ дал: Warlock1
0

Ответ:

В) (0: 6: 0) та (0; 0; 0)

Пошаговое объяснение:

Приложения:
Вас заинтересует