Ответы
Ответ дал:
1
Ответ:
Відповідь на фото)))))))
Приложения:

Ответ дал:
0
Ответ:
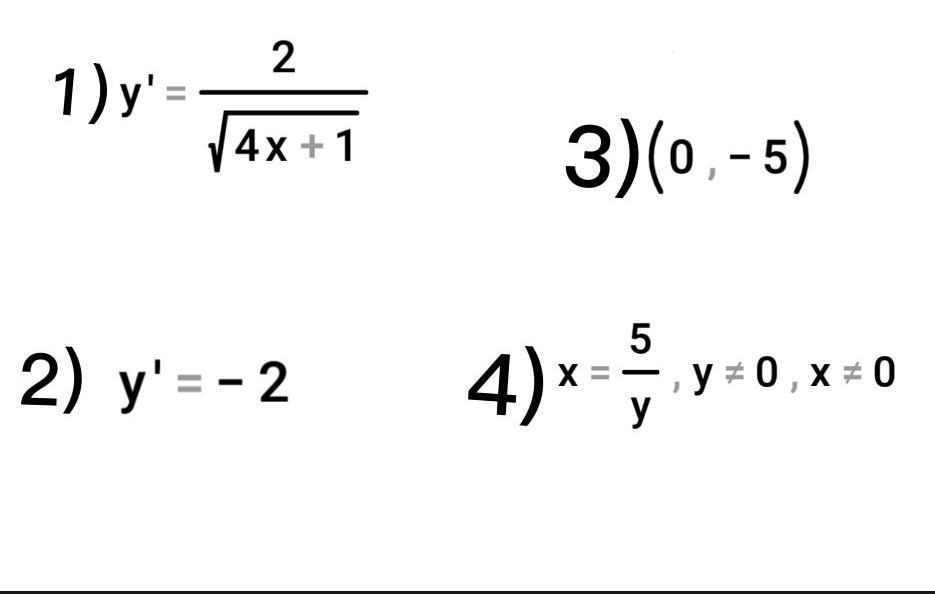
Пошаговое объяснение:
1) y=√(4x+1) ⇒ 4x+1≥0 ⇒ 4x≥-1 ⇒ x≥-1/4 ⇒ x≥0,25 ⇒ D(y)=(-∞; 0,25)∪(0,25; ∞);
2) y=-2x+3 ⇒ x - любое число ⇒ D(y)=(-∞; +∞);
3) y=x²-5 ⇒ x - любое число ⇒ D(y)=(-∞; +∞);
4) y=5/x ⇒ x≠0 ⇒ D(y)=(-∞; 0)∪(0; ∞).
Вас заинтересует
2 года назад
2 года назад
2 года назад
2 года назад
7 лет назад
9 лет назад
9 лет назад