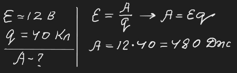
ЕРС джерела живлення 12 В . Яку роботу виконують сторонні сили при переміщенні заряду 40 кл всередині джерела від одного полюса до іншого?
Ответы
Ответ дал:
1
Відповідь: 480 Дж
Пояснення:
Приложения:

Вас заинтересует
2 года назад
2 года назад
2 года назад
7 лет назад
7 лет назад
9 лет назад