Ответы
Ответ дал:
0
Ответ:
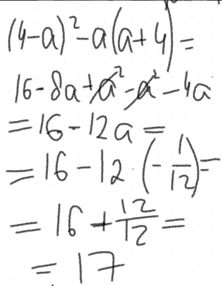
ответ 17
Объяснение:
легко и просто это делается
Приложения:

Вас заинтересует
2 года назад
2 года назад
2 года назад
7 лет назад