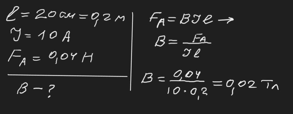
Сила струму в горизонтально розташованому провіднику довжиною 20 см дорівнює 10 А. Знайти індукцію магнітного поля, в яке необхідно помістити провідник, щоб сила Ампера дорівнювала 0,04 Н
Ответы
Ответ дал:
0
Відповідь: 0,02 Тл
Пояснення:
Приложения:

Вас заинтересует
2 года назад
2 года назад
7 лет назад
7 лет назад
9 лет назад
9 лет назад