• Предмет: Алгебра
  • Автор: dasakubinec37
  • Вопрос задан 3 года назад

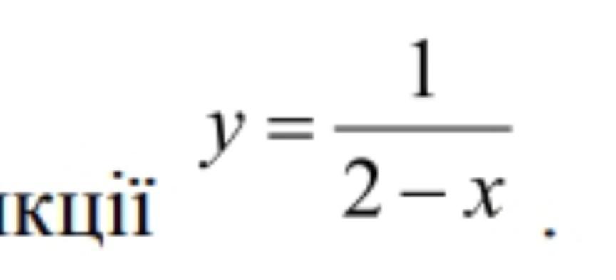
знайдіть область визначення функції​

Приложения:

Ответы

Ответ дал: rodiongricuta
0

Ответ:

x є R, {2}

вроде бы так

Объяснение:

абоба

Вас заинтересует