• Предмет: Физика
  • Автор: sinkovskijvladimir8
  • Вопрос задан 3 года назад

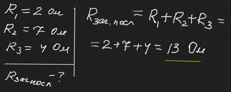
визначтезагальний опір якщо три резистори зеднпли послідовно опори резисторів дорівнюють 2 ом,7 Ом та 4 ом​

Ответы

Ответ дал: zybkov1950
0

Відповідь: 13 Ом

Пояснення:

Приложения:
Вас заинтересует