• Предмет: Алгебра
  • Автор: mitsukisun1
  • Вопрос задан 3 года назад

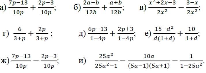
помогите решить примеры плиз все баллы даю

Приложения:

Ответы

Ответ дал: rodiongricuta
0

а) = 9p-16/10p

б) = а/4b

в) = x^2+3x-6/2x^2

г) =2

д) = 8p-10/1-4p

e) = -d^2+10d+15/d+d^2

ж) = p-2/2p

и) = 5a-1/5a+1

^ — знак степени

/ — дробь

Вас заинтересует