ДАЮ 50 БАЛЛОВ!!!!!!!!!!!
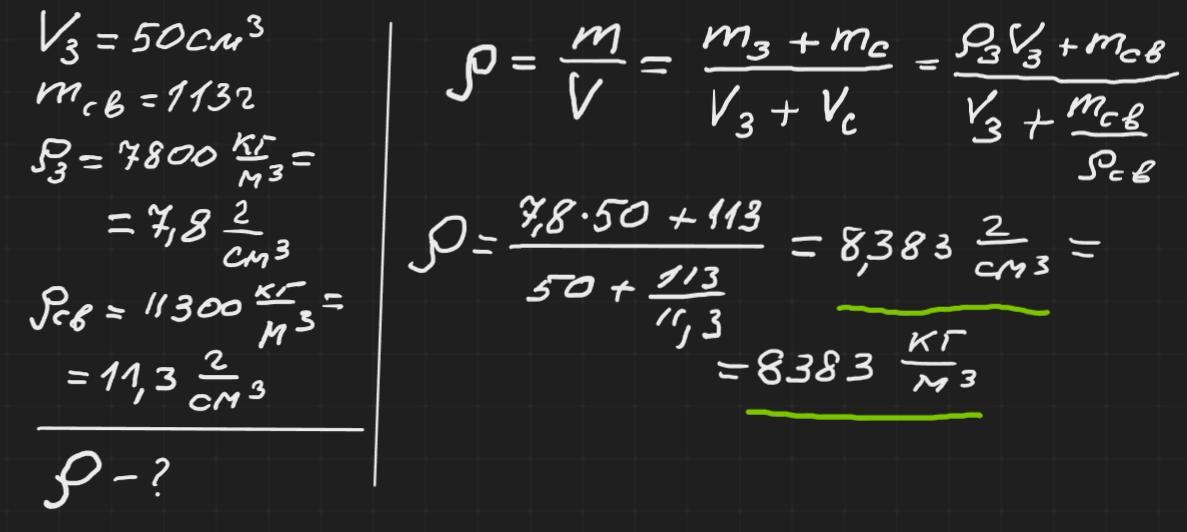
Залізне тіло об’ємом 50 см3 і свинцевий брусок масою 113 г
розплавили та виготовили сплав. Знайти густину сплаву. Густина
заліза 7 800 кг/м3 , а густина свинцю 11 300 кг/м3
Ответы
Ответ дал:
1
решение во вложении
====================
Приложения:

Ответ дал:
2
Відповідь: Див. додаток
Пояснення:
Приложения:

v3000:
Зубков можете помочь решит задание (40 балов и лучший ответ)
Вас заинтересует
2 года назад
2 года назад
2 года назад
7 лет назад
9 лет назад