• Предмет: Физика
  • Автор: adaseaweed
  • Вопрос задан 3 года назад

ДАЮ 100 БАЛІВ БУДЬ ЛАСКА ТРЕБА ЗРОБИТИ ЗАРАЗ ​

Приложения:

Ответы

Ответ дал: zybkov1950
1

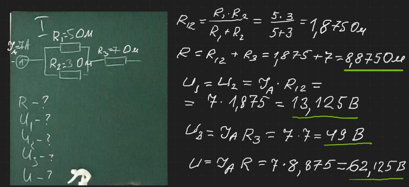
Відповідь: Див. додаток

Пояснення:

Приложения:
Вас заинтересует