• Предмет: Физика
  • Автор: yarikyarik2205
  • Вопрос задан 3 года назад

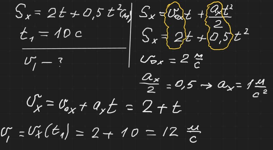
Рівняння проєкції переміщення автомобіля має вигляд Sx=2t+0.5t^2 (у рівнянні значення всіх величин подано в системі СІ). Визначте швидкість руху автомобіля через 10 с після початку руху. Відповідь запишіть у метрах за секунду (м/с), але лише числове значення без одиниці величини.​

Ответы

Ответ дал: zybkov1950
1

Відповідь: 12

Пояснення:

Приложения:
Вас заинтересует