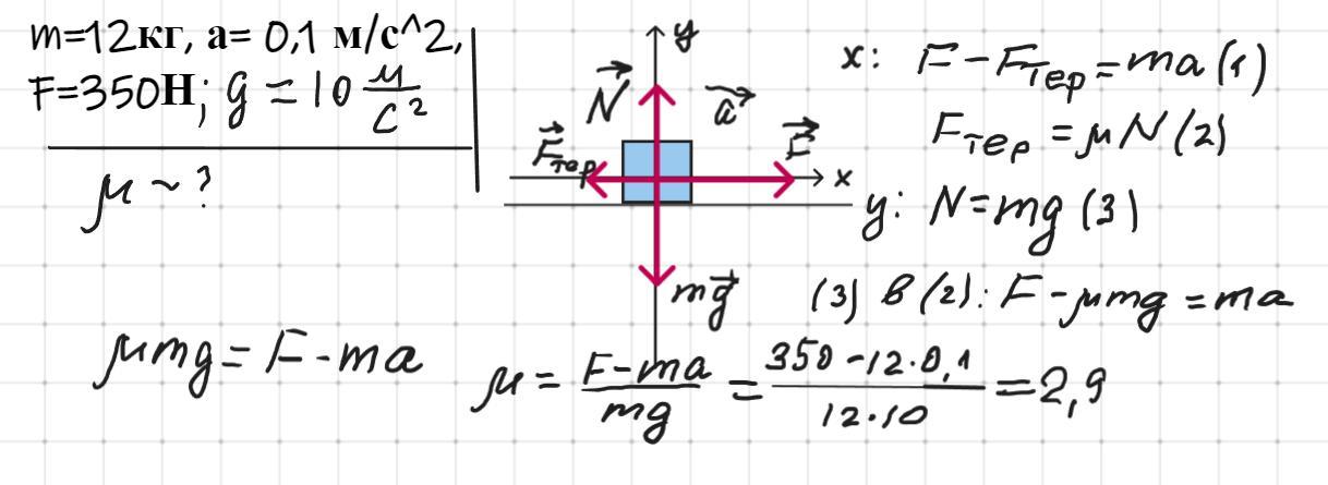
Вантаж масою m рухається по горизонтальній поверхні з прискоренням a під дією сили тяги в F Визначте коефіцієнт тертя тіла об поверхню. Якщо m=12кг, а= 0,1 м/с^2, F=350Н
zybkov1950:
Мало би бути F=35 Н. Тоді μ= 0,28
Ответы
Ответ дал:
0
Відповідь: 2,9
Пояснення:
Приложения:

Вас заинтересует
2 года назад
2 года назад
2 года назад
2 года назад
7 лет назад
7 лет назад
9 лет назад
9 лет назад