• Предмет: Математика
  • Автор: illalevickij
  • Вопрос задан 3 года назад

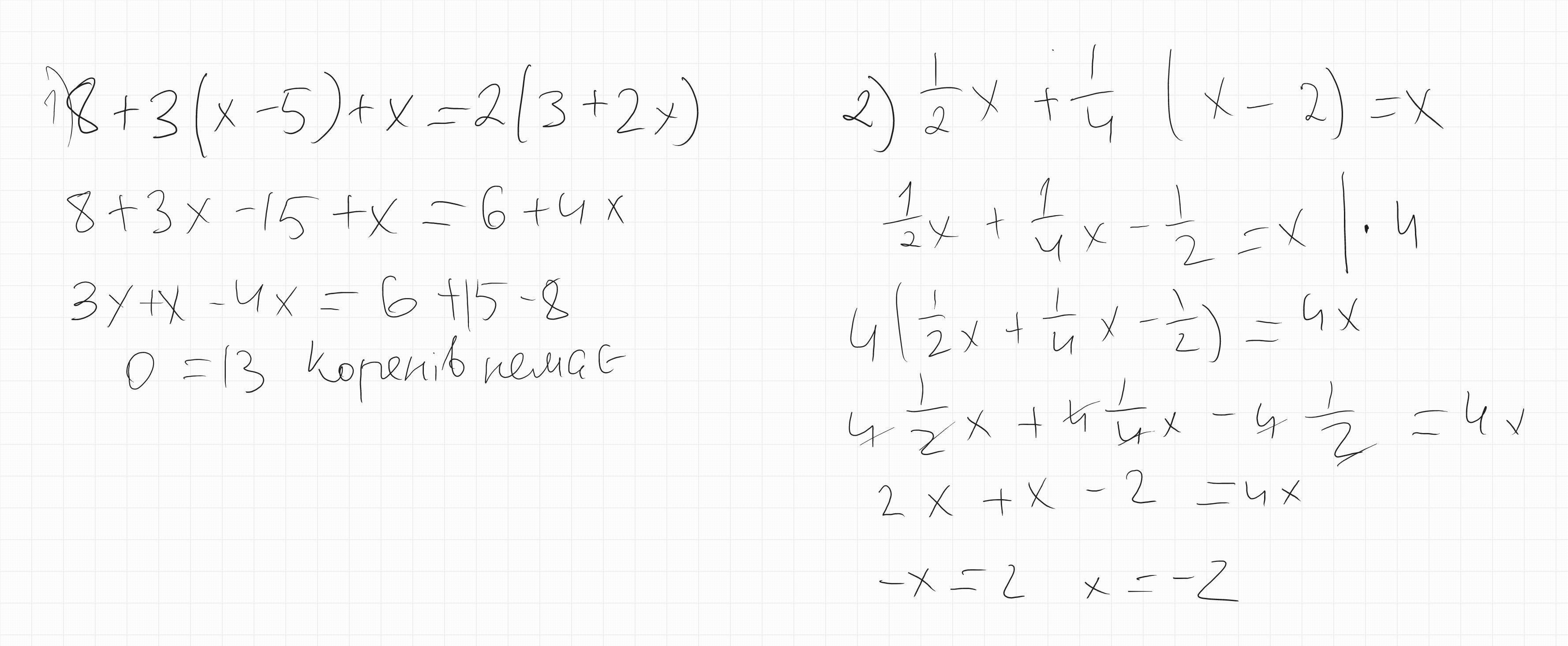
2)Розв'яжіть рівняння: a)8+3(x-5)+x=2(3+2x); 6)(1/2)x+(1/4)(x-2)=x,
допоможіть будь-ласка

Ответы

Ответ дал: dm1502
1

Відповідь:

Прикріпив

Приложения:
Ответ дал: eva994458
1
Сразу говорю, я не скопировала.
Приложения:
Вас заинтересует