• Предмет: Алгебра
  • Автор: ddoneckij720
  • Вопрос задан 3 года назад

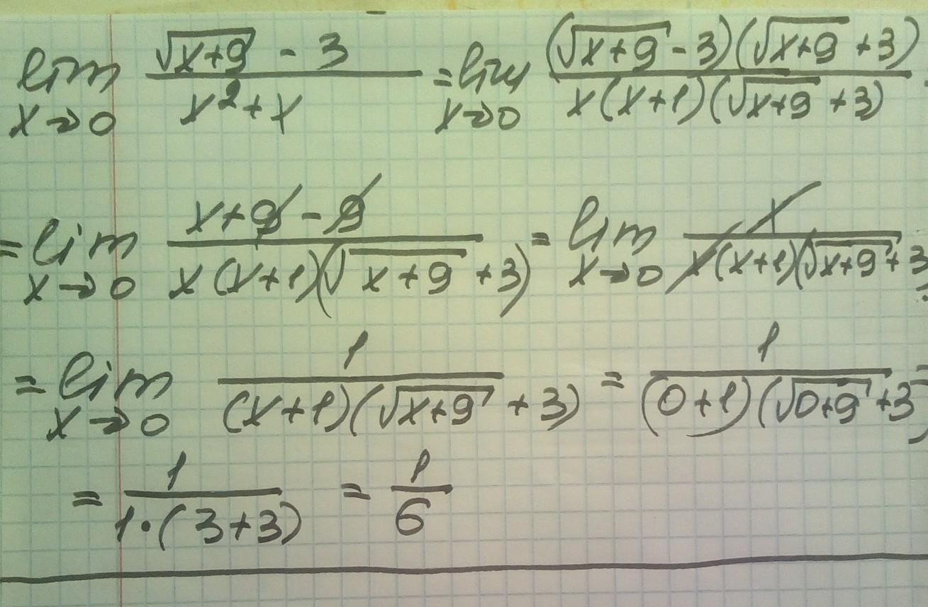
193 балла. Помогите пожалуйста решить, буду очень признателен. Желательно чтобы было написано на бумаге

Приложения:

Ответы

Ответ дал: manyny06
0

Ответ:

решение смотри на фотографии

Приложения:
Вас заинтересует