• Предмет: Математика
  • Автор: ihtinaabdullaeva
  • Вопрос задан 3 года назад

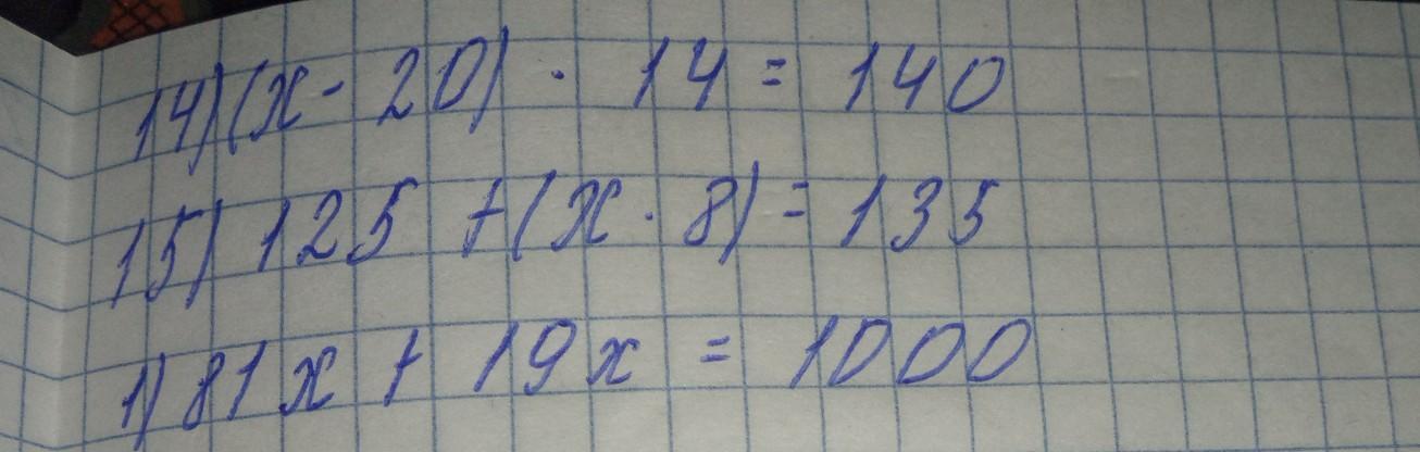
Помогите пожалуйста дам все балы все на фото​

Приложения:

Ответы

Ответ дал: mvetukova
1

Ответ:

1)х=30

2)х=1.25

3)х=10

Пошаговое объяснение:


ihtinaabdullaeva: а можно не сразу ответы о полностью?
ihtinaabdullaeva: пж☹️
Вас заинтересует