• Предмет: Математика
  • Автор: Raha7182
  • Вопрос задан 3 года назад

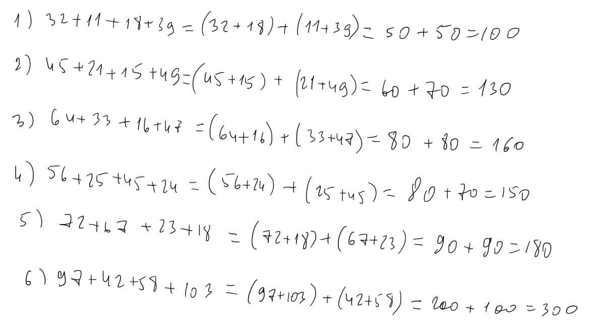
Вычеслите используя переместительное и сочетатильное свойства сложения

Приложения:

Ответы

Ответ дал: Warlock1
2

Ответ:

вроде того

Пошаговое объяснение:

Приложения:
Вас заинтересует