• Предмет: Алгебра
  • Автор: annsh9812
  • Вопрос задан 3 года назад

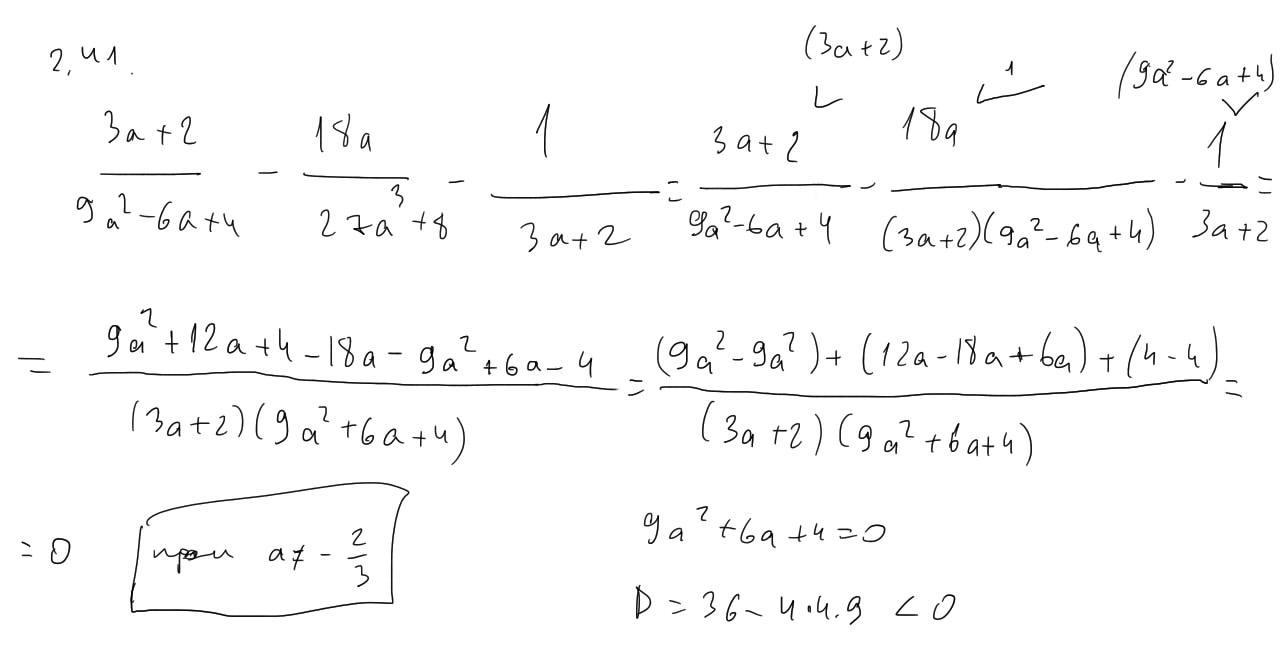
Номер: 2.41
========​

Приложения:

Ответы

Ответ дал: Warlock1
1

Ответ:

типа того

Объяснение:

Приложения:
Вас заинтересует