• Предмет: Физика
  • Автор: Alonersoul
  • Вопрос задан 3 года назад

Помогите пожалуйста решить нижеприведенную задачу (даю сто баллов, ребята-физики, помогите пожалуйста пожилому :3)

Заряди 10 і 16 нКл розташовані на відстані 7 мм один від одного. Яка сила діятиме

на заряд 2 нКл, розміщений у точці, що віддалена на 3 мм від меншого заряду

й на 4 мм — від більшого?

Ответы

Ответ дал: iragovrunova
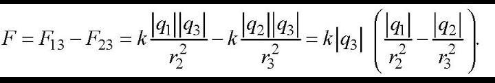
1

Дано

Найти F

r=r2+r3то заряд q3 лежит на прямой ,соединяющий заряды q1 q2

Приложения:
Вас заинтересует