№10
1)Опишите схему исследования функции.
2)Исследуйте с помощью производной функции:
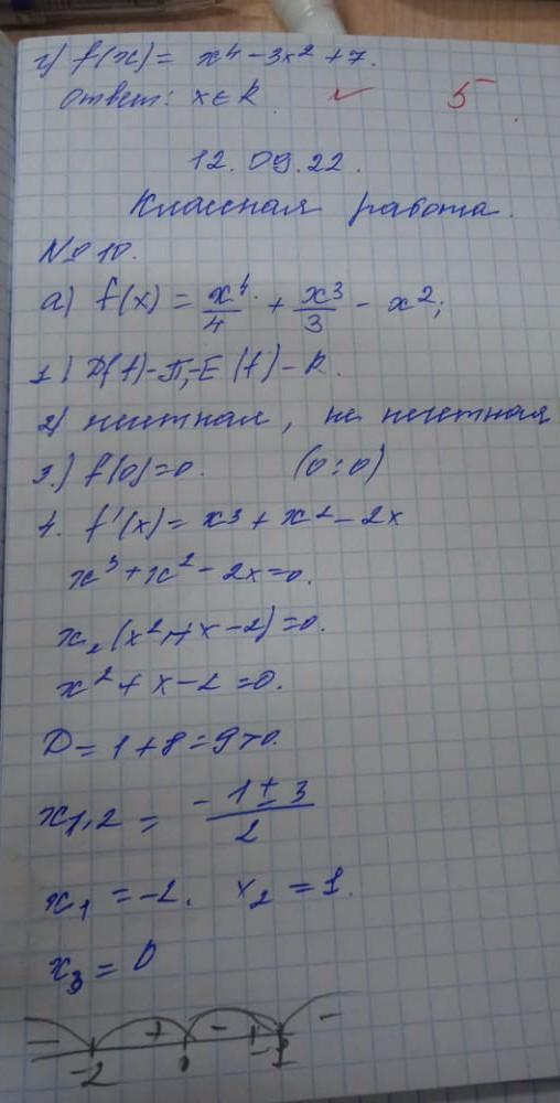
а)f(x)=x^4/4+x^3/3-x^2;
б)f(x)=8/x+x/2;
в)f(x)=x^3-3x^2-9x;
г)f(x)=x/4-x^2;
3)Исследуйте по общей схеме функцию f и постройте ее график:
а)f(x)=x^2-2/x;
б)f(x)=x^2(x-2)^2;
в)f(x)=2x^2+3x-1;
г)f(x)=x^3/3+x^2-3x+1.
Ответы
Ответ дал:
1
Ответ:
а)f(x)=x^4/4+x^3/3-x^2
1)D(f)-П,-Є(f)-R
2)нечетная, не нечетная
3)f(0)=0 (0:0)
4)f'(x)=x^3+x^2-2x
X^3+X^2-2X=0
X^2(X^2+X-2)=0
X^2+X-2=0
D=1+8=9>0
X1,2=-1±3/2
X1=-2
X2=0
Приложения:

Вас заинтересует
2 года назад
7 лет назад
9 лет назад