• Предмет: Алгебра
  • Автор: HeheXDlolkek
  • Вопрос задан 3 года назад

3.11. Найдите значение выражений:​

Приложения:

HeheXDlolkek: с решением полным пожалуйста!

Ответы

Ответ дал: Elizaveta0956
1

Ответ:

в фотке

Объяснение:

в фотке)

Приложения:
Ответ дал: cvb115
1

Ответ:

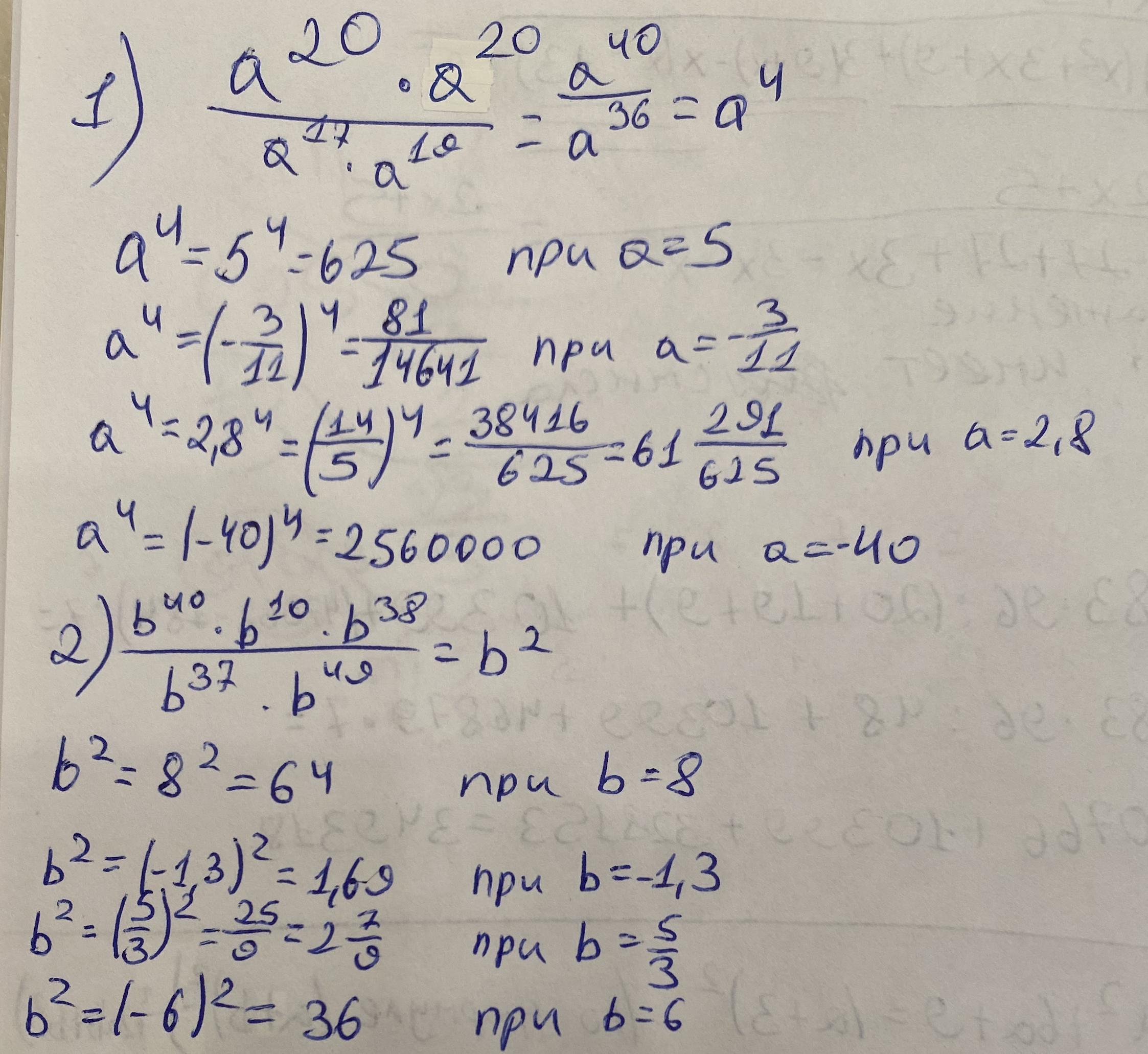
1)\dfrac{a^{20} *a^{20} }{a^{17} *a^{19} } =\dfrac{a^{20+20} }{a^{17+19} } =a^{40} :a^{36} =a^{40-36 } =a^{4}

5^{4} =625                                  2.8^{4} =61.4656

(-\dfrac{3}{11} )^{4} =\dfrac{3^{4} }{11^{4} } =\dfrac{81}{14641}           (-40)^{4} =2560000

2) \dfrac{b^{40} *b^{10} *b^{38} }{b^{37} *b^{49} } =\dfrac{b^{40+10+38} }{b^{37+49} } =b^{88} :b^{86} =b^{88-86} =b^{2}

8^{2} =64                           (\dfrac{5}{3} )^{2} =\dfrac{5^{2} }{3^{2} } =\dfrac{25}{9}=2\dfrac{7}{9}

(-1.3)^{2} =1.69                (-6)^{2} =36

Вас заинтересует