• Предмет: Математика
  • Автор: blinkapec157
  • Вопрос задан 3 года назад

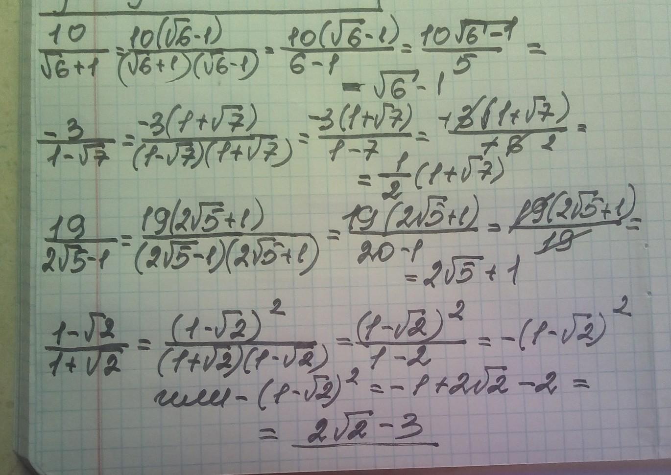
27 Избавьтесь от иррациональности в знаменателе отношения

Приложения:

Ответы

Ответ дал: smirnovawx
0
а)10•6 под корнем : 7
б)-3•7 под корнем : -6
в)19•5 под корнем : 9
г)1

smirnovawx: г) -1/3
Ответ дал: manyny06
0

Ответ:

решение смотри на фотографии

Приложения:
Вас заинтересует