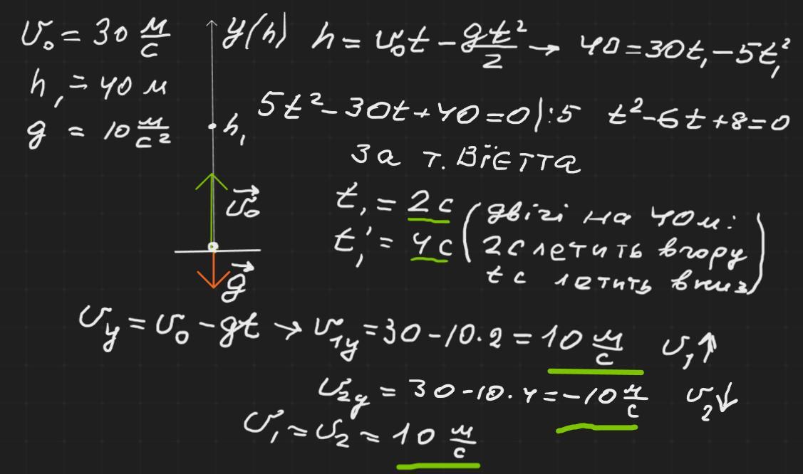
Тіло кидають вертикально вгору з початковою швидкістю 30м/с.
Через який час воно буде на висоті 40 м?
Яку швидкість матиме пролітаючи відмітку 40 м?
Ответы
Ответ дал:
0
Відповідь: Див. додаток
Пояснення:
Приложения:

Вас заинтересует
2 года назад
2 года назад
2 года назад
7 лет назад
7 лет назад
9 лет назад