Укажіть уміст аденіну в молекулі ДНК, якщо вміст цитозину становить 16%. А) 14% Б) 24% В) 34% Г) 44%
Ответы
Ответ дал:
0
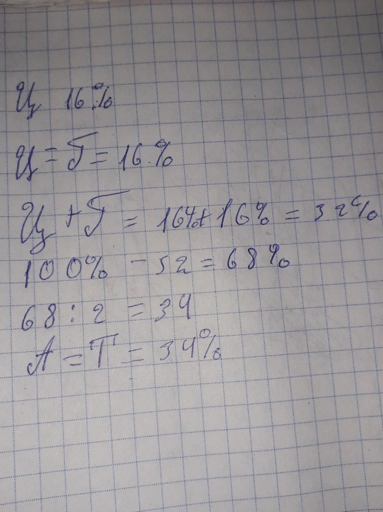
Ц=Г=16%
Ц+Г=16+16=32%
100-32=68%
А=Т=68
68÷2=34
А=34
Т=34
В-дь:В адиніну 34
Приложения:

Вас заинтересует
2 года назад
2 года назад
2 года назад
2 года назад
7 лет назад
7 лет назад
9 лет назад
9 лет назад