• Предмет: Алгебра
  • Автор: makarovaaleksa2020
  • Вопрос задан 3 года назад

СРОЧНО ПОМОГИТЕ ДАЮ 50 БАЛОВ!!!​

Приложения:

Ответы

Ответ дал: NNNLLL54
0

Ответ:

Дробно рациональные уравнения .

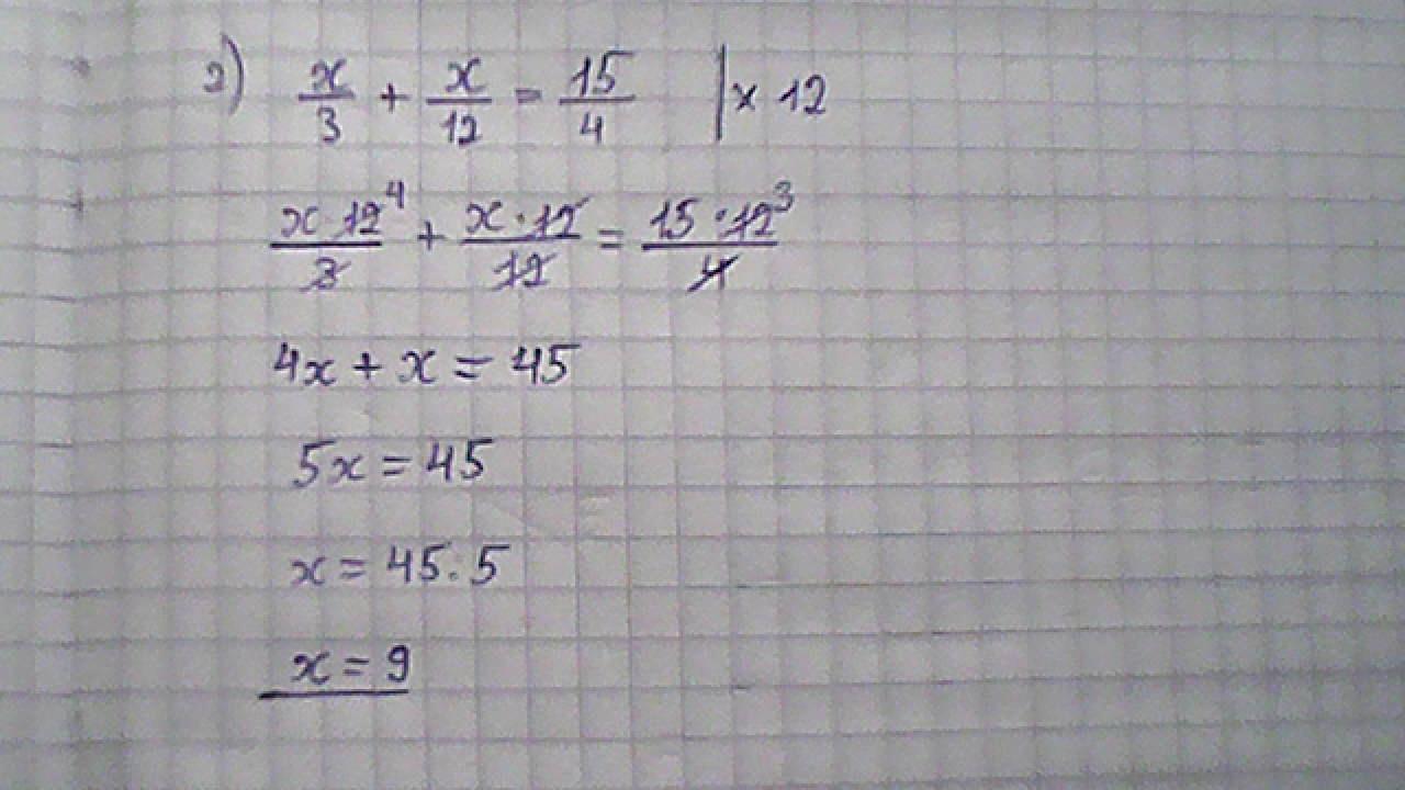
\displaystyle 1)\ \ \frac{5}{12}+\frac{x}{6}=\frac{x}{4}+\frac{1}{3}\ \ \ ,\ \ \ \frac{x}{4}-\frac{x}{6}=\frac{5}{12}-\frac{1}{3}\ \ ,\ \ \frac{1}{12}\, x=\frac{1}{12}\ \ ,\ \ \boldsymbol{x=1}\\\\\\\\2)\ \ \frac{x}{3}+\frac{x}{12}=\frac{15}{4}\ \ \ ,\ \ \ \frac{5x}{12}=\frac{15}{4}\ \ ,\ \ x=\frac{15\cdot 12}{5}\ \ ,\ \  x=3\cdot 12\ \ ,\ \ \boldsymbol{x=36}    

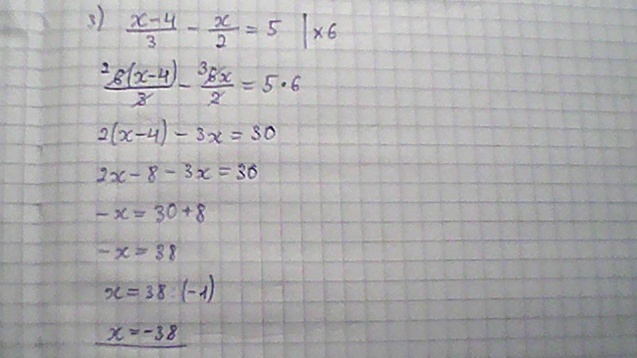
\displaystyle 3)\ \ \frac{x-4}{3}-\frac{x}{2}=5\ \ \ ,\ \ \ \frac{2x-8-3x}{6}=5\ \ ,\ \ -x-8=30\ \ ,\ \  x=-8-30\ \ ,\ \ \boldsymbol{x=-38}

Ответ дал: Znaykanalyne
0

Ответ:

Все на фото)

Объяснение:

Приложения:
Вас заинтересует