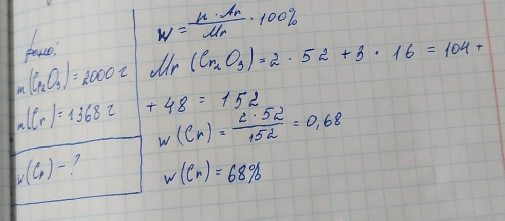
Зразок Хром оксиду (Cr2O3)
масою 2000 грам містить 1368 грам Хрому. Обчисліть масову частку Хрому у
сполуці.
Ответы
Ответ дал:
1
Дано:
m(Cr2O3) = 2000 г
m(Cr) = 1368 г
Знайти:
ω(Cr) - ?
Рішення:
1) ω(Cr) = m(Cr) * 100% / m(Cr2O3) = 1368 * 100% / 2000 = 68,4%.
Відповідь: Масова частка Cr становить 68,4%.
Ответ дал:
1
Ответ:
відповідь на фото .........
Приложения:

Вас заинтересует
2 года назад
2 года назад
2 года назад
7 лет назад
7 лет назад
9 лет назад
9 лет назад