• Предмет: Алгебра
  • Автор: Yehert
  • Вопрос задан 3 года назад

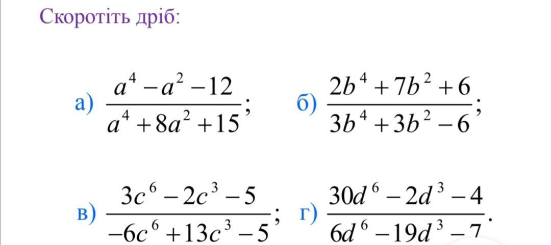
Допоможіть. З поясненням.

Приложения:

Ответы

Ответ дал: LeraCryshtal
1
Добрый вечер!Вот ответы,вроде правильно,если что-то не понятно пишите
Приложения:
Вас заинтересует