• Предмет: Физика
  • Автор: linriii
  • Вопрос задан 3 года назад

ДАМ 60 БАЛІВ БУДЬ ЛАСКА ДОПОМОЖІТЬ ВИРІШИТИ ЗАДАЧУ, терміново, дуже прошу​

Приложения:

Ответы

Ответ дал: zybkov1950
2

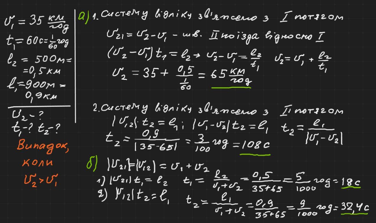
Відповідь: Див. додаток

Пояснення: Оскільки пасажир  першого потяга бачить другий потяг, який їде в тому ж напрямку, то швидкість другого потяга більша за  швидкість першого потяга  (додаток 1)

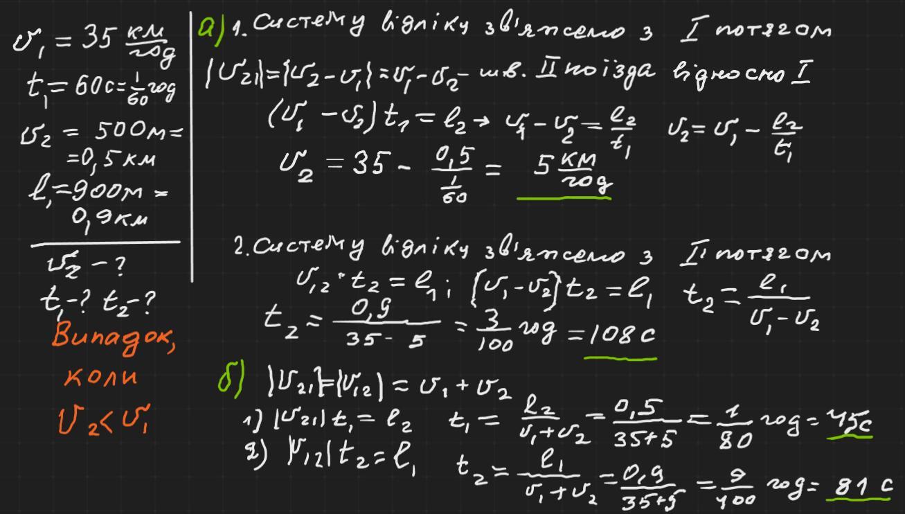
Якщо ж  швидкість другого потяга менша за  швидкість першого потяга, то пасажир  першого потяга бачить, що другий потяг їде "назад" (додаток 2)

Приложения:
Вас заинтересует