• Предмет: Алгебра
  • Автор: Аноним
  • Вопрос задан 3 года назад

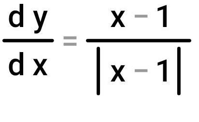
Постройте график линии, заданной уравнением :

6) 2y - |x | + 5 = 0;
9) y - |x - 1| - 2 = 0.

(и то что на фото, тоже!)

Заранее большое спасибо!!! Если есть возможность, то дайте ответ с небольшим объяснением (:​

Приложения:

Ответы

Ответ дал: maksdimitrov11
0

Ответ:

все ответи на фото зараніє наздаровє

Приложения:
Вас заинтересует