Ответы
Ответ дал:
0
Ответ:
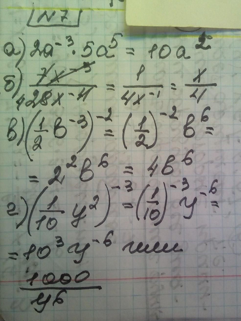
a) 2a-³×5a⁵=10a²
б) x/4
в) 4b⁶
г) 1000/у⁶
12)
г)
Объяснение:
поставь лучший ответ
Приложения:

anastasiacizaleksand:
в этом приложении и я могу сделать,но там неправильно
Ответ дал:
1
Ответ:
решение смотри на фотографии
Приложения:


Вас заинтересует
2 года назад
2 года назад
2 года назад
2 года назад
7 лет назад
7 лет назад
9 лет назад