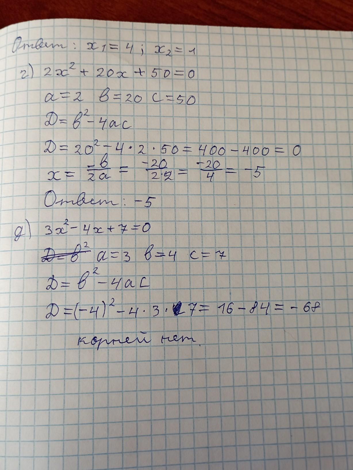
а) х²+6х+9=0 ; б) 4х²-9х+15=0 ; в) х²-5х+4=0 ; г) 2х²+20х+50=0 ; д) 3х²-4х+7=0 пожалуйста помогите мне срочно нужно
Ответы
Ответ дал:
2
Вот и ваш ответ, надеюсь чем-то помогла
Приложения:



egorkapletnev2006:
у тебя ошибка, 20^2=400 ,а не 40
Ответ дал:
1
Решил через дискриминант
Надеюсь помог
Приложения:


Вас заинтересует
2 года назад
2 года назад
2 года назад
2 года назад
7 лет назад
9 лет назад