• Предмет: Алгебра
  • Автор: kiramster
  • Вопрос задан 11 лет назад

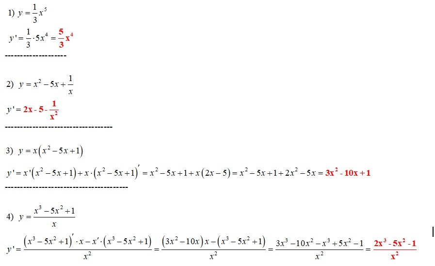
найти производную (у штрих)


1.y=13(x в 5 степени)

2.у=х²-5х+1х

3.у=х(х²-5х+1)

4.у=х³-5х²+1 (знаменатель х)

Ответы

Ответ дал: justcall
0

решение во вложении.

Приложения:
Вас заинтересует